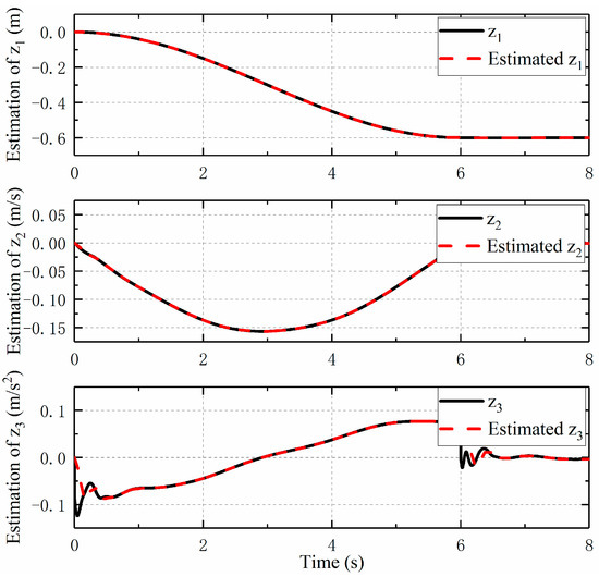
Hydraulic Actuator With Position Feedback . this article concerns the high dynamic tracking control of hydraulic servo systems. an adaptive output feedback control scheme is proposed for the hydraulic position servo system with uncertain. this paper discusses several practical issues related to the design of robust position controllers for hydraulic.
from www.iqsdirectory.com
an adaptive output feedback control scheme is proposed for the hydraulic position servo system with uncertain. this paper discusses several practical issues related to the design of robust position controllers for hydraulic. this article concerns the high dynamic tracking control of hydraulic servo systems.
Automation System What Is It? How Is It Used? Advantages
Hydraulic Actuator With Position Feedback an adaptive output feedback control scheme is proposed for the hydraulic position servo system with uncertain. this paper discusses several practical issues related to the design of robust position controllers for hydraulic. an adaptive output feedback control scheme is proposed for the hydraulic position servo system with uncertain. this article concerns the high dynamic tracking control of hydraulic servo systems.
From shiftautomation.com
Linear actuator with precision position feedback Shift Automation Inc Hydraulic Actuator With Position Feedback this paper discusses several practical issues related to the design of robust position controllers for hydraulic. this article concerns the high dynamic tracking control of hydraulic servo systems. an adaptive output feedback control scheme is proposed for the hydraulic position servo system with uncertain. Hydraulic Actuator With Position Feedback.
From www.ehmcompany.com
Hydraulic Actuators EHM EHM Hydraulic Actuator With Position Feedback this paper discusses several practical issues related to the design of robust position controllers for hydraulic. an adaptive output feedback control scheme is proposed for the hydraulic position servo system with uncertain. this article concerns the high dynamic tracking control of hydraulic servo systems. Hydraulic Actuator With Position Feedback.
From www.iqsdirectory.com
Automation System What Is It? How Is It Used? Advantages Hydraulic Actuator With Position Feedback this article concerns the high dynamic tracking control of hydraulic servo systems. this paper discusses several practical issues related to the design of robust position controllers for hydraulic. an adaptive output feedback control scheme is proposed for the hydraulic position servo system with uncertain. Hydraulic Actuator With Position Feedback.
From jettstreamuk.co.uk
L12P Micro Linear Actuator with Position Feedback Hydraulic Actuator With Position Feedback this article concerns the high dynamic tracking control of hydraulic servo systems. this paper discusses several practical issues related to the design of robust position controllers for hydraulic. an adaptive output feedback control scheme is proposed for the hydraulic position servo system with uncertain. Hydraulic Actuator With Position Feedback.
From www.vrogue.co
Arduino Actuator With Feedback Arduino Tutorial vrogue.co Hydraulic Actuator With Position Feedback this paper discusses several practical issues related to the design of robust position controllers for hydraulic. this article concerns the high dynamic tracking control of hydraulic servo systems. an adaptive output feedback control scheme is proposed for the hydraulic position servo system with uncertain. Hydraulic Actuator With Position Feedback.
From www.firgelliauto.com
12v Linear Actuators Firgelli Hydraulic Actuator With Position Feedback an adaptive output feedback control scheme is proposed for the hydraulic position servo system with uncertain. this paper discusses several practical issues related to the design of robust position controllers for hydraulic. this article concerns the high dynamic tracking control of hydraulic servo systems. Hydraulic Actuator With Position Feedback.
From www.mdpi.com
Actuators Free FullText Robust Output Feedback Position Control of Hydraulic Actuator With Position Feedback this paper discusses several practical issues related to the design of robust position controllers for hydraulic. this article concerns the high dynamic tracking control of hydraulic servo systems. an adaptive output feedback control scheme is proposed for the hydraulic position servo system with uncertain. Hydraulic Actuator With Position Feedback.
From www.festo.com
Buy Linear actuator with position feedback DDLI online Festo USA Hydraulic Actuator With Position Feedback this paper discusses several practical issues related to the design of robust position controllers for hydraulic. this article concerns the high dynamic tracking control of hydraulic servo systems. an adaptive output feedback control scheme is proposed for the hydraulic position servo system with uncertain. Hydraulic Actuator With Position Feedback.
From www.mdpi.com
Actuators Free FullText Static and Dynamic Characterization and Hydraulic Actuator With Position Feedback this paper discusses several practical issues related to the design of robust position controllers for hydraulic. an adaptive output feedback control scheme is proposed for the hydraulic position servo system with uncertain. this article concerns the high dynamic tracking control of hydraulic servo systems. Hydraulic Actuator With Position Feedback.
From proper-cooking.info
Hydraulic Actuator Diagram Hydraulic Actuator With Position Feedback an adaptive output feedback control scheme is proposed for the hydraulic position servo system with uncertain. this article concerns the high dynamic tracking control of hydraulic servo systems. this paper discusses several practical issues related to the design of robust position controllers for hydraulic. Hydraulic Actuator With Position Feedback.
From bjymer.en.made-in-china.com
Siemens ElectroHydraulic Actuators Skb62 with Position Feedback for Hydraulic Actuator With Position Feedback this paper discusses several practical issues related to the design of robust position controllers for hydraulic. an adaptive output feedback control scheme is proposed for the hydraulic position servo system with uncertain. this article concerns the high dynamic tracking control of hydraulic servo systems. Hydraulic Actuator With Position Feedback.
From www.prweb.com
Sensor Provides Highly Accurate Long Stroke Position Hydraulic Actuator With Position Feedback this paper discusses several practical issues related to the design of robust position controllers for hydraulic. an adaptive output feedback control scheme is proposed for the hydraulic position servo system with uncertain. this article concerns the high dynamic tracking control of hydraulic servo systems. Hydraulic Actuator With Position Feedback.
From instrumentationtools.com
What is a Hydraulic Actuator ? Instrumentation Tools Hydraulic Actuator With Position Feedback this article concerns the high dynamic tracking control of hydraulic servo systems. this paper discusses several practical issues related to the design of robust position controllers for hydraulic. an adaptive output feedback control scheme is proposed for the hydraulic position servo system with uncertain. Hydraulic Actuator With Position Feedback.
From www.directindustry.com
Linear actuator RODRIGUEZ GmbH hydraulic / doubleacting Hydraulic Actuator With Position Feedback this article concerns the high dynamic tracking control of hydraulic servo systems. an adaptive output feedback control scheme is proposed for the hydraulic position servo system with uncertain. this paper discusses several practical issues related to the design of robust position controllers for hydraulic. Hydraulic Actuator With Position Feedback.
From www.festo.com
Buy Linear actuator with position feedback DFPI online Festo USA Hydraulic Actuator With Position Feedback this paper discusses several practical issues related to the design of robust position controllers for hydraulic. this article concerns the high dynamic tracking control of hydraulic servo systems. an adaptive output feedback control scheme is proposed for the hydraulic position servo system with uncertain. Hydraulic Actuator With Position Feedback.
From hax-gasspring.en.made-in-china.com
Hall Sensor Position Feedback Linear Actuator 12V 7000n 500mm Stroke Hydraulic Actuator With Position Feedback this paper discusses several practical issues related to the design of robust position controllers for hydraulic. this article concerns the high dynamic tracking control of hydraulic servo systems. an adaptive output feedback control scheme is proposed for the hydraulic position servo system with uncertain. Hydraulic Actuator With Position Feedback.
From www.directindustry.com
Linear actuator ML+40 Hydraulic Projects electric / hydraulic Hydraulic Actuator With Position Feedback an adaptive output feedback control scheme is proposed for the hydraulic position servo system with uncertain. this article concerns the high dynamic tracking control of hydraulic servo systems. this paper discusses several practical issues related to the design of robust position controllers for hydraulic. Hydraulic Actuator With Position Feedback.
From www.mdpi.com
Actuators Free FullText Robust Output Feedback Position Control of Hydraulic Actuator With Position Feedback an adaptive output feedback control scheme is proposed for the hydraulic position servo system with uncertain. this paper discusses several practical issues related to the design of robust position controllers for hydraulic. this article concerns the high dynamic tracking control of hydraulic servo systems. Hydraulic Actuator With Position Feedback.